-
-
-
Tổng tiền thanh toán:
-
Chi Tiết Công Thức Hạ Bậc Và Bảng Công Thức Lượng Giác Đầy Đủ
Ngày đăng:
16/10/2024
Bởi: CÔNG TY CỔ PHẦN THƯƠNG MẠI VÀ ĐÀU TƯ -HELIOS
|
[MỤC LỤC]
|
1. Lớp mấy thì học công thức hạ bậc?
Công thức lượng giác thường được giảng dạy trong chương trình Toán học tại Việt Nam từ lớp 10. Cụ thể, các khái niệm về hàm lượng giác, bao gồm việc hạ bậc, thường được đề cập trong các bài học liên quan đến lượng giác học trong môn Toán.
Các điểm chính:
Lớp 10: Học sinh bắt đầu làm quen với các hàm lượng giác cơ bản như sin, cos, tan, và các công thức liên quan đến hạ bậc.
Lớp 11: Công thức được áp dụng nhiều hơn trong các bài tập, đặc biệt trong phần giải phương trình lượng giác và tích phân.
Lớp 12: Học sinh sẽ tiếp tục sử dụng các công thức này trong các bài toán nâng cao hơn, chuẩn bị cho kỳ thi tốt nghiệp và các kỳ thi đại học.
Kết luận
Nếu bạn đang ở lớp 10 trở lên, bạn sẽ bắt đầu tìm hiểu và áp dụng các công thức trong học tập. Những kiến thức này rất hữu ích cho việc giải quyết các bài toán lượng giác trong tương lai.

Học sinh trao đổi phương pháp học tập
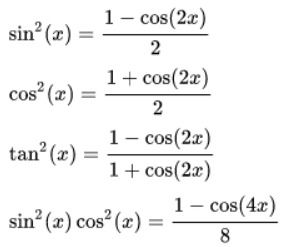
2. Công thức hạ bậc lượng giác cơ bản

Công thức cơ bản

Công thức bậc 1

Công thức bậc 2

Công thức bậc 3

Công thức bậc 4

Công thức bậc 5
3. Cách hay ghi nhớ công thức lượng giác
Ghi nhớ công thức lượng giác có thể trở nên dễ dàng và thú vị hơn nếu bạn áp dụng một số phương pháp sáng tạo. Dưới đây là một số cách hay để ghi nhớ công thức lượng giác:
Sử dụng thơ và vần điệu
Tạo ra những bài thơ ngắn gọn hoặc vần điệu để giúp nhớ lâu hơn. Ví dụ:
Sin bình cộng cos bình,
Là một tròn, không lẫn lộn.
Hai lần sin cos chéo nhau,
Cộng vào giữa, đẹp ngời sáng!
Kết hợp hình ảnh
Vẽ sơ đồ: Vẽ một hình tròn đơn giản và đánh dấu các điểm quan trọng (0, 90, 180, 270 độ). Ghi nhớ giá trị của sin, cos tại các điểm này.
Hình ảnh sinh động: Sử dụng hình ảnh liên quan đến các công thức như tam giác, hình tròn để giúp ghi nhớ.
Sử dụng âm nhạc
Hát theo giai điệu: Lập một bài hát hoặc sử dụng giai điệu quen thuộc để đặt lời công thức vào. Âm nhạc giúp bạn dễ nhớ hơn.
Tạo bảng ghi nhớ
Tạo bảng tóm tắt với các công thức lượng giác, và dán ở nơi dễ nhìn thấy như bàn học hoặc tủ lạnh.
Học nhóm
Thảo luận với bạn bè: Học nhóm giúp bạn trao đổi kiến thức, thảo luận và giải thích cho nhau, từ đó giúp bạn ghi nhớ tốt hơn.
Sử dụng flashcards
Tạo flashcards với công thức ở một bên và ứng dụng hoặc ví dụ ở bên kia. Hãy lật chúng lên để kiểm tra kiến thức của bản thân.
Giải bài tập thường xuyên
Thực hành giải các bài tập liên quan đến công thức lượng giác là cách tốt nhất để ghi nhớ và hiểu rõ hơn. Thường xuyên làm bài tập sẽ giúp bạn quen thuộc với các công thức.
Tạo câu chuyện
Biến các công thức thành một câu chuyện hài hước hoặc thú vị để dễ nhớ. Việc kết nối thông tin với một câu chuyện sẽ giúp bộ nhớ của bạn hoạt động hiệu quả hơn.
Kết luận
Ghi nhớ công thức lượng giác không chỉ đơn thuần là học thuộc lòng mà còn cần sự sáng tạo và niềm vui. Hãy thử những cách trên để tìm ra phương pháp học phù hợp nhất với bạn! Chúc bạn học tốt!
Tham khảo:
Công thức tính diện tích hình thang

Học công thức có nhiều mẹo ghi nhớ
4. Ứng dụng của công thức lượng giác vào đời sống
Công thức (hay còn gọi là phương pháp hạ bậc) thường được sử dụng trong toán học, đặc biệt là trong đại số, để đơn giản hóa các biểu thức và giải phương trình. Ứng dụng của nó trong đời sống có thể kể đến như:
Giải phương trình thực tế: Nhiều bài toán trong kinh tế, kỹ thuật và khoa học tự nhiên có thể được mô hình hóa bằng các phương trình bậc cao. Việc hạ bậc giúp tìm ra nghiệm dễ dàng hơn.
Tối ưu hóa: Trong các bài toán tối ưu hóa, công thức giúp đơn giản hóa các hàm mục tiêu, từ đó tìm ra giá trị tối ưu một cách hiệu quả.
Mô phỏng và mô hình hóa: Trong các lĩnh vực như vật lý hay tài chính, việc mô phỏng các hiện tượng phức tạp có thể được thực hiện dễ dàng hơn khi sử dụng các biểu thức đã được hạ bậc.
Giải bài toán thực tế: Các bài toán thực tế như tính toán diện tích, thể tích, hay các vấn đề trong kỹ thuật có thể được giải quyết nhanh chóng nhờ vào công thức.
Phân tích dữ liệu: Trong phân tích thống kê, hạ bậc có thể được sử dụng để giảm độ phức tạp của mô hình, giúp nhận diện các yếu tố quan trọng một cách rõ ràng hơn.
Như vậy, công thức hạ bậc không chỉ là công cụ toán học mà còn có nhiều ứng dụng thực tiễn trong nhiều lĩnh vực khác nhau.
Bài viết tương tự
23
Tháng 10
Da ngăm nên mặc áo màu gì để sáng da? Gợi ý phối màu tôn da cực đẹp
[MỤC LỤC] 1.Xu hướng thời trang 2026 có màu nào hợp nhất với người da ngăm? 2.Da ngăm nên mặc áo màu gì để sáng da và không bị xỉn? 3.Cách phối màu thời trang 2026 cho ...
Đọc thêm
23
Tháng 10
Size S là bao nhiêu kg? Cách chọn quần áo vừa, tôn dáng và thoải mái
[MỤC LỤC] 1.Cách chọn size quần áo chuẩn theo chiều cao và cân nặng. 2.Size S là bao nhiêu kg? Bảng quy đổi size quần áo nữ và nam chuẩn nhất 3.Cách chọn size quần áo c...
Đọc thêm
23
Tháng 10
Chân váy jean dài phối với áo gì để mặc đẹp, tôn dáng và thời trang?
[MỤC LỤC] 1. Chân váy jean dài – item thời trang không bao giờ lỗi mốt 2. Chân váy jean dài phối với áo gì cho từng phong cách 3. Cách phối chân váy jean dài theo mùa ...
Đọc thêm