-
-
-
Tổng tiền thanh toán:
-
Đạo Hàm Là Gì? Công Thức Đạo Hàm Kèm Bài Tập Chi Tiết
Ngày đăng:
14/03/2024
Bởi: CÔNG TY CỔ PHẦN THƯƠNG MẠI VÀ ĐÀU TƯ -HELIOS
|
[MỤC LỤC]
|
Trong chương trình học lớp 11, học sinh sẽ bắt đầu tiếp xúc đạo hàm. Vậy Công thức đạo hàm có khó không? Cách áp dụng ra sao? Cùng tìm hiểu rõ hơn trong bài viết dưới đây của chúng tôi nhé!
Trong giải tích toán học, đạo hàm chính là một hàm số mô tả sự biến thiên tại một điểm. Nói một cách khác đạo hàm chính là tỉ số giữ số gia và hàm số tại một điểm là x0. Độ lớn của biến thiên và chiều biến thiên thể hiện giá trị của một đạo hàm. Dưới đây là tổng hợp công thức tính đạo hàm cùng ví dụ chi tiết:
1. Công thức đạo hàm cơ bản
Trong quá trình học tập nếu như kiến thức được giảng dạy không được rèn luyện, mài dũa sẽ rất nhanh quên. Công thức tính đạo hàm cũng như vậy, dưới đây là bảng công thức tính đạo hàm cần nhớ:
Đạo hàm của một số phân thức hữu tỉ
Đạo hàm của f(x) với x là một biến số
Đạo hàm của f(u) với u là một hàm số

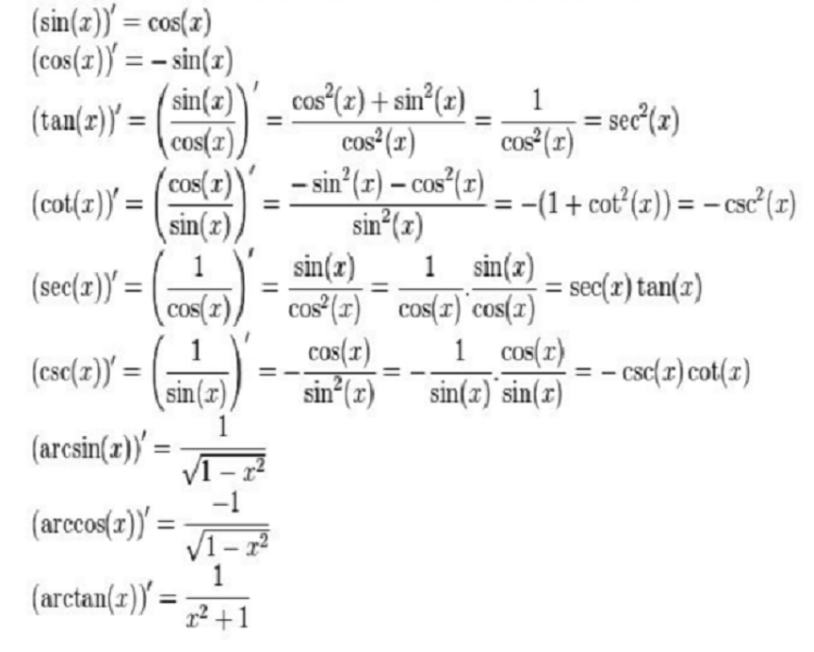
Công thức đạo hàm lượng giác
Đạo hàm của các hàm lượng giác ngược và hàm lượng giác như sau

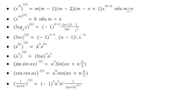
Công thức tính của đạo hàm sơ cấp như sau

Công thức tính của đạo hàm cấp cao như sau

2. Mối liên hệ giữa Đạo hàm và nguyên hàm trong toán học
Đạo hàm và nguyên hàm có mối liên hệ nào không?
Nguyên hàm của hàm số thực cho trước với f là một hàm F. Hàm F có đạo hàm bằng f. Tính phân bất định chính là quá trình tìm ra nguyên hàm. Việc tìm biểu thức cho nguyên hàm này sẽ khó hơn so với tìm đạo hàm.
Trong toán học nguyên hàm sẽ được coi là phần con của đạo hàm. Bởi nguyên hàm thực chất được định nghĩa từ đạo hàm. Nói cách khác tính ngược lại của tìm đạo hàm là tìm nguyên hàm. Qua đó có thể thấy đạo hàm và nguyên hàm trong toán học sẽ có mối liên hệ mật thiết với nhau.
Tham khảo: Ca nhạc trữ tình
3. Các dạng bài áp dụng công thức đạo hàm và nguyên hàm
Dưới đây là tổng hợp một số dạng toán, bài tập đi kèm để các em thực hành áp dụng công thức tính đạo hàm:
Dạng 1: Dùng khái niệm định nghĩa để tính đạo hàm
Đây là một trong những dạng toán đạo hàm cơ bản, cùng cách giải đơn giản nhất trong các bài tập. Để giải bài tập, các bạn sẽ dựa vào định nghĩa, áp dụng công thức cơ bản để tính toán chính xác. Cụ thể như sau:

Dạng 2: Chứng minh các đẳng thức liên quan đến đạo hàm
Với dạng bài tập này sẽ thường yêu cầu chứng minh hệ thức nào đó dựa theo điều kiện có sẵn. Điều này đòi hỏi học sinh phải tính toán, chứng minh đẳng thức liên quan đến đạo hàm. Sau đó tính chính xác và đưa ra kết quả cuối cùng.

Dạng 3: Biết tiếp điểm, viết phương trình của tiếp tuyến
Đây là dạng bài tập để áp dụng công thức tính đạo hàm khá phổ biến. Cụ thể đề bài thường sẽ đưa ra một phương trình tiếp tuyến của hàm số của một đồ thị đường cong (C): y= f(x). Trong đó có một tiếp điểm M(x0 ; y0) cho sẵn, có dạng: y = y’(x0)(x-x0) + y0. Nên chỉ cần thay thế các dữ liệu đã cho sẽ tìm được đáp án chính xác.
Chẳng hạn: Cho một hàm số y= x3 + 3mx2 + ( m+1)x + 1 (1). Với m là một tham số thực. Hãy tìm các giá trị của m để tiếp tuyến của đồ thị của hàm số tại điểm có hoành độ là x = -1 và đi qua điểm A( 1;2).
Ta có: TXD: D = R
y’ = f'(x)= 3×2 + 6mx + m + 1
Với x0 = -1, suy ra: y0= 2m -1, f'( -1) = -5m + 4
Phương trình tiếp tuyến tại M(-1; 2m – 1) : y= ( -5m + 4 ) ( x+1) + 2m -1 (d)
Ta có A ( 1;2) ∈ (d), do đo: ( -5m + 4).2 + 2m – 1 = 2 => m = 5/8
Dạng 4: Viết phương trình tiếp khi đã biết hệ số góc
Viết phương trình tiếp tiếp tại Δ của (C ) : y = f( x ). Khi biết Δ có hệ số góc là k được cho trước.
Gọi M(x0 ; y0) là tiếp điểm. Hãy Tính y’ => y'(x0)
Phương trình tiếp tuyến Δ với hệ số góc k => y’ = (x0 ) = k (i)
x0 => y0 = f(x0) , suy ra Δ : y = k (x – x0 )+ y0

Lưu ý: Hệ số góc k = y'(x0 ) của tiếp tuyến Δ thường được cho sẽ được cho kiểu gián tiếp. Thông qua ví dụ sau:
Ví dụ: Cho hàm số y=x3 +3 × 2 - 9x + 5 ( C). Tìm tiếp tuyến với hệ số góc nhỏ nhất trong tất cả các tiếp tuyến của đồ thị hàm số (C ).
Ta có y’ = f'( x ) = 3×2 + 6x – 9
Gọi x0 là hoành độ tiếp điểm của đường tiếp tuyến. Do đó f'( x0) = 3 x02 + 6 x0 – 9
Ta có 3 x02 + 6×0– 9 =3 ( x02+ 2×0 +1) – 12 = 3 (x0+1)2– 12 > – 12
Vậy min f( x0)= – 12 tại điểm x0= -1 => y0=16
Suy ra phương trình tiếp tuyến sẽ là: y= -12( x+1)+16 <=> y= -12x + 4
Dạng 5: Bất phương trình và phương trình có đạo hàm
Ở dạng bài này sẽ phải kết hợp nhiều công thức đạo hàm và nguyên hàm. Từ đó có thể giải bất phương trình hay phương trình để tìm được kết quả chính xác nhất.

Dạng 6: Dùng công thức tính đạo hàm nguyên hàm
Ở dạng bài tập này, đòi hỏi các bạn phải nắm vững các công thức tính đạo hàm lớp 11 như chia sẻ trên. Nếu trong trường hợp đào hàm có những hàm số phức tạp xuất hiện. Lúc này, bạn có thể rút gọn hàm số rồi mới tiến hành đạo hàm chúng, nhất là đối với những hàm lượng giác.

Dạng 7: Tính đạo hàm cấp cao
Với dạng bài tập tính đạo hàm cấp cao thường thiên về tính đạo hàm cấp 2 trở lên. Khi này mọi người có thể áp dụng các công thức tính đạo hàm cấp cao trên hoặc y(n) = (y(n-1))’
Ngoài ra, để tính đạo hàm cấp n, bạn có thể tính đạo hàm từ cấp 1, 2, 3… rồi từ đó suy luận ra công thức tính đạo hàm cấp n.
4. Phương pháp và cách giải đạo hàm nhanh nhất
Để nắm được kiến thức đạo hàm và áp dụng thực tế. Trước tiên bạn cần nắm vững lý thuyết về đạo hàm phải từ định nghĩa, tính chất, ý nghĩa, công thức (đạo hàm phép nhân, chia, công thức tính đạo hàm trị tuyệt đối ….). Sau đó sẽ cần vận dụng những kiến thức đã học để ứng dụng vào giải bài tập cụ thể.
Làm nhiều các dạng bài tập từ cơ bản đến nâng cao. Như vậy sẽ giúp bạn nắm vững kiến thức hơn. Lý thuyết luôn đi đôi với thực hành do đó hãy học đi đôi với hành nhé!
Bên cạnh đó, việc học các kiến thức từ trường lớp thôi là chưa đủ. Bạn sẽ cần tìm tòi nhiều kiến thức trên mạng. Một số trang web tính đạo hàm miễn phí sẽ giúp bạn tìm ra chính xác đáp án nhanh nhất. Bạn có thể tính đạo hàm mathway cũng khá thuận tiện.
Trên đây là những kiến thức hữu ích về công thức tính đạo hàm hay gặp nhất. Hy vọng thông qua bài viết này, bạn đã nắm được công thức tính đạo hàm và ứng dụng của nó trong thực tế. Từ đó vận dụng thật tốt và đạt kết quả cao nhé!
Bài viết tương tự
23
Tháng 10
Da ngăm nên mặc áo màu gì để sáng da? Gợi ý phối màu tôn da cực đẹp
[MỤC LỤC] 1.Xu hướng thời trang 2025 có màu nào hợp nhất với người da ngăm? 2.Da ngăm nên mặc áo màu gì để sáng da và không bị xỉn? 3.Cách phối màu thời trang 2025 cho ...
Đọc thêm
23
Tháng 10
Size S là bao nhiêu kg? Cách chọn quần áo vừa, tôn dáng và thoải mái
[MỤC LỤC] 1.Cách chọn size quần áo chuẩn theo chiều cao và cân nặng. 2.Size S là bao nhiêu kg? Bảng quy đổi size quần áo nữ và nam chuẩn nhất 3.Cách chọn size quần áo c...
Đọc thêm
23
Tháng 10
Chân váy jean dài phối với áo gì để mặc đẹp, tôn dáng và thời trang?
[MỤC LỤC] 1. Chân váy jean dài – item thời trang không bao giờ lỗi mốt 2. Chân váy jean dài phối với áo gì cho từng phong cách 3. Cách phối chân váy jean dài theo mùa ...
Đọc thêm